| .github/workflows | ||
| docs | ||
| kitti-eval | ||
| monoloco | ||
| splits | ||
| tests | ||
| .gitattributes | ||
| .gitignore | ||
| LICENSE | ||
| MANIFEST.in | ||
| pyproject.toml | ||
| README.md | ||
| setup.cfg | ||
| setup.py | ||
| versioneer.py | ||
Monoloco library 
Continuously tested on Linux, MacOS and Windows:
This library is based on three research projects for monocular/stereo 3D human localization (detection), body orientation, and social distancing. Check the video teaser of the library on YouTube.
MonStereo: When Monocular and Stereo Meet at the Tail of 3D Human Localization
L. Bertoni, S. Kreiss, T. Mordan, A. Alahi, ICRA 2021
Article Citation Video
Perceiving Humans: from Monocular 3D Localization to Social Distancing
L. Bertoni, S. Kreiss, A. Alahi, T-ITS 2021
Article Citation Video
MonoLoco: Monocular 3D Pedestrian Localization and Uncertainty Estimation
L. Bertoni, S. Kreiss, A.Alahi, ICCV 2019
Article Citation Video
License
All projects are built upon Openpifpaf for the 2D keypoints and share the AGPL Licence.
This software is also available for commercial licensing via the EPFL Technology Transfer Office (https://tto.epfl.ch/, info.tto@epfl.ch).
Quick setup
A GPU is not required, yet highly recommended for real-time performances.
The installation has been tested on OSX and Linux operating systems, with Python 3.6, 3.7, 3.8. Packages have been installed with pip and virtual environments.
For quick installation, do not clone this repository, make sure there is no folder named monoloco in your current directory, and run:
pip3 install monoloco
For development of the source code itself, you need to clone this repository and then:
pip3 install sdist
cd monoloco
python3 setup.py sdist bdist_wheel
pip3 install -e .
Interfaces
All the commands are run through a main file called run.py using subparsers.
To check all the options:
python3 -m monoloco.run --helppython3 -m monoloco.run predict --helppython3 -m monoloco.run train --helppython3 -m monoloco.run eval --helppython3 -m monoloco.run prep --help
or check the file monoloco/run.py
Predictions
The software receives an image (or an entire folder using glob expressions), calls PifPaf for 2D human pose detection over the image and runs Monoloco++ or MonStereo for 3D localization &/or social distancing &/or orientation
Which Modality
The command --mode defines which network to run.
- select
--mode mono(default) to predict the 3D localization of all the humans from monocular image(s) - select
--mode stereofor stereo images - select
--mode keypointsif just interested in 2D keypoints from OpenPifPaf
Models are downloaded automatically. To use a specific model, use the command --model. Additional models can be downloaded from here
Which Visualization
- select
--output_types multiif you want to visualize both frontal view or bird's eye view in the same picture - select
--output_types bird frontif you want to different pictures for the two views or just one view - select
--output_types jsonif you'd like the ouput json file
If you select --mode keypoints, use standard OpenPifPaf arguments
Focal Length and Camera Parameters
Absolute distances are affected by the camera intrinsic parameters.
When processing KITTI images, the network uses the provided intrinsic matrix of the dataset.
In all the other cases, we use the parameters of nuScenes cameras, with "1/1.8'' CMOS sensors of size 7.2 x 5.4 mm.
The default focal length is 5.7mm and this parameter can be modified using the argument --focal.
Webcam
You can use the webcam as input by using the --webcam argument. By default the --z_max is set to 10 while using the webcam and the --long-edge is set to 144. If multiple webcams are plugged in you can choose between them using --camera, for instance to use the second camera you can add --camera 1.
For example, the following command :
python -m monoloco.run predict \
--webcam \
--activities raise_hand
Yields the following result :
With social_distance in --activities, only the keypoints will be shown, allowing total anonimity.
For instance, using :
python -m monoloco.run predict \
--webcam \
--activities social_distance
We have :
A) 3D Localization
Ground-truth comparison
If you provide a ground-truth json file to compare the predictions of the network,
the script will match every detection using Intersection over Union metric.
The ground truth file can be generated using the subparser prep, or directly downloaded from Google Drive
and called it with the command --path_gt.
Monocular examples
For an example image, run the following command:
python -m monoloco.run predict docs/002282.png \
--path_gt names-kitti-200615-1022.json \
-o <output directory> \
--long-edge <rescale the image by providing dimension of long side>
--n_dropout <50 to include epistemic uncertainty, 0 otherwise>
To show all the instances estimated by MonoLoco add the argument --show_all to the above command.
It is also possible to run openpifpaf directly
by using --mode keypoints. All the other pifpaf arguments are also supported
and can be checked with python -m monoloco.run predict --help.
Stereo Examples
To run MonStereo on stereo images, make sure the stereo pairs have the following name structure:
- Left image: <name>.<extension>
- Right image: <name>_r.<extension>
(It does not matter the exact suffix as long as the images are ordered)
You can load one or more image pairs using glob expressions. For example:
python3 -m monoloco.run predict --mode stereo \
--glob docs/000840*.png
--path_gt <to match results with ground-truths> \
-o data/output -long_edge 2500
python3 -m monoloco.run predict --glob docs/005523*.png \ --output_types multi \
--mode stereo \
--path_gt <to match results with ground-truths> \
-o data/output --long_edge 2500 \
--instance-threshold 0.05 --seed-threshold 0.05
B) Social Distancing (and Talking activity)
To visualize social distancing compliance, simply add the argument social_distance to --activities. This visualization is not supported with a stereo camera.
Threshold distance and radii (for F-formations) can be set using --threshold-dist and --radii, respectively.
For more info, run:
python -m monoloco.run predict --help
Examples
An example from the Collective Activity Dataset is provided below.
To visualize social distancing run the below, command:
python -m monoloco.run predict docs/frame0032.jpg \
--activities social_distance --output_types front bird
C) Raise hand detection
To detect a risen hand, you can add raise_hand to --activities.
For more info, run:
python -m monoloco.run predict --help
Examples
The command below:
python -m monoloco.run predict .\docs\raising_hand.jpg \
--output_types front \
--activities raise_hand
Yields the following:
D) Orientation and Bounding Box dimensions
The network estimates orientation and box dimensions as well. Results are saved in a json file when using the command
--output_types json. At the moment, the only visualization including orientation is the social distancing one.
Training
We train on the KITTI dataset (MonoLoco/Monoloco++/MonStereo) or the nuScenes dataset (MonoLoco) specifying the path of the json file containing the input joints. Please download them here or follow preprocessing instructions.
Results for MonoLoco++ are obtained with:
python -m monoloco.run train --joints data/arrays/joints-kitti-mono-210422-1600.json
While for the MonStereo results run:
python -m monoloco.run train --joints data/arrays/joints-kitti-stereo-210422-1601.json --lr 0.003 --mode stereo
If you are interested in the original results of the MonoLoco ICCV article (now improved with MonoLoco++), please refer to the tag v0.4.9 in this repository.
Finally, for a more extensive list of available parameters, run:
python -m monstereo.run train --help
Preprocessing
Preprocessing and training step are already fully supported by the code provided,
but require first to run a pose detector over
all the training images and collect the annotations.
The code supports this option (by running the predict script and using --mode keypoints).
Data structure
data
├── outputs
├── arrays
├── kitti
Run the following inside monoloco repository:
mkdir data
cd data
mkdir outputs arrays kitti
Kitti Dataset
Download kitti images (from left and right cameras), ground-truth files (labels), and calibration files from their website and save them inside the data folder as shown below.
data
├── kitti
├── gt
├── calib
├── images
├── images_right
The network takes as inputs 2D keypoints annotations. To create them run PifPaf over the saved images:
python -m openpifpaf.predict \
--glob "data/kitti/images/*.png" \
--json-output <directory to contain predictions> \
--checkpoint=shufflenetv2k30 \
--instance-threshold=0.05 --seed-threshold 0.05 --force-complete-pose
Horizontal flipping
To augment the dataset, we apply horizontal flipping on the detected poses. To include small variations in the pose, we use the poses from the right-camera (the dataset uses a stereo camera). As there are no labels for the right camera, the code automatically correct the ground truth depth by taking into account the camera baseline.
To obtain these poses, run pifpaf also on the folder of right images. Make sure to save annotations into a different folder, and call the right folder: <NameOfTheLeftFolder>_right
Recall
To maximize the recall (at the cost of the computational time), it's possible to upscale the images with the command --long_edge 2500 (~scale 2).
Once this step is complete, the below commands transform all the annotations into a single json file that will used for training.
For MonoLoco++:
python -m monoloco.run prep --dir_ann <directory that contains annotations>
For MonStereo:
python -m monoloco.run prep --mode stereo --dir_ann <directory that contains left annotations>
Collective Activity Dataset
To evaluate on of the collective activity dataset (without any training) we selected 6 scenes that contain people talking to each other. This allows for a balanced dataset, but any other configuration will work.
THe expected structure for the dataset is the following:
collective_activity
├── images
├── annotations
where images and annotations inside have the following name convention:
IMAGES: seq<sequence_name>_frame<frame_name>.jpg ANNOTATIONS: seq<sequence_name>_annotations.txt
With respect to the original dataset, the images and annotations are moved to a single folder and the sequence is added in their name. One command to do this is:
rename -v -n 's/frame/seq14_frame/' f*.jpg
which for example change the name of all the jpg images in that folder adding the sequence number
(remove -n after checking it works)
Pifpaf annotations should also be saved in a single folder and can be created with:
python -m openpifpaf.predict \
--glob "data/collective_activity/images/*.jpg" \
--checkpoint=shufflenetv2k30 \
--instance-threshold=0.05 --seed-threshold 0.05 \--force-complete-pose \
--json-output <output folder>
Evaluation
3D Localization
We provide evaluation on KITTI for models trained on nuScenes or KITTI. Download the ground-truths of KITTI dataset and the calibration files from their website. Save the training labels (one .txt file for each image) into the folder data/kitti/gt and the camera calibration matrices (one .txt file for each image) into data/kitti/calib.
To evaluate a pre-trained model, download the latest models from here and save them into `data/outputs.
Baselines
We compare our results with other monocular and stereo baselines, depending whether you are evaluating stereo or monocular settings. For some of the baselines, we have obtained the annotations directly from the authors and we don't have yet the permission to publish them.
Mono3D, 3DOP, MonoDepth MonoPSR and our MonoDIS and our Geometrical Baseline.
- Mono3D: download validation files from here
and save them into
data/kitti/m3d - 3DOP: download validation files from here
and save them into
data/kitti/3dop - MonoDepth: compute an average depth for every instance using the following script
here
and save them into
data/kitti/monodepth - Geometrical Baseline and MonoLoco:
To include also geometric baselines and MonoLoco, download a monoloco model, save it in
data/models, and add the flag--baselinesto the evaluation command
The evaluation file will run the model over all the annotations and compare the results with KITTI ground-truth and the downloaded baselines. For this run:
python -m monoloco.run eval \
--dir_ann <annotation directory> \
--model data/outputs/monoloco_pp-210422-1601.pkl \
--generate \
--save \
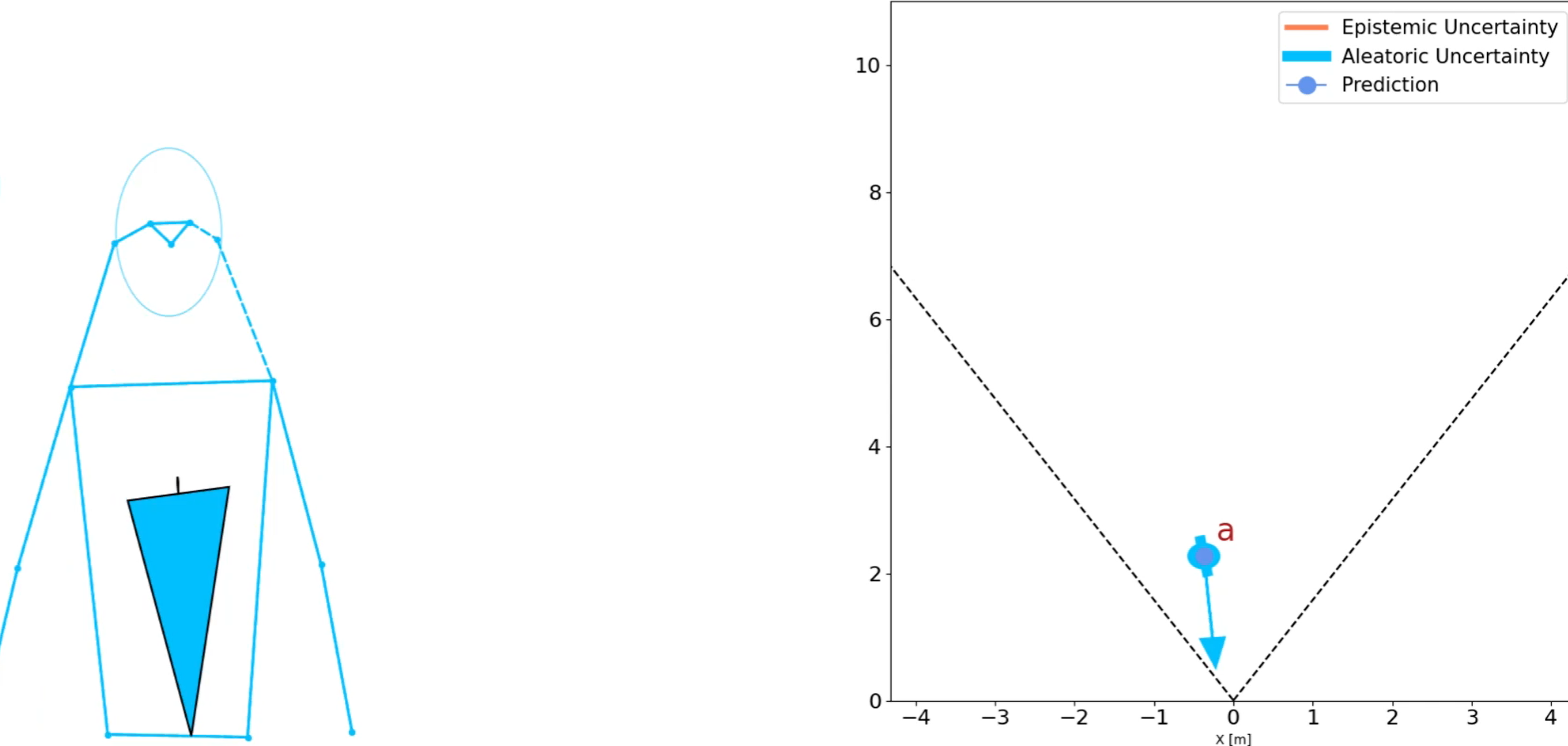
For stereo results add --mode stereo and select --model=monstereo-210422-1620.pkl. Below, the resulting table of results and an example of the saved figures.
Tables
Relative Average Precision Localization: RALP-5% (MonStereo)
We modified the original C++ evaluation of KITTI to make it relative to distance. We use cmake. To run the evaluation, first generate the txt file with the standard command for evaluation (above). Then follow the instructions of this repository to prepare the folders accordingly (or follow kitti guidelines) and run evaluation. The modified file is called evaluate_object.cpp and runs exactly as the original kitti evaluation.
Activity Estimation (Talking)
Please follow preprocessing steps for Collective activity dataset and run pifpaf over the dataset images. Evaluation on this dataset is done with models trained on either KITTI or nuScenes. For optimal performances, we suggest the model trained on nuScenes teaser.
python -m monstereo.run eval \
--activity \
--dataset collective \
--model <path to the model> \
--dir_ann <annotation directory>
Citation
When using this library in your research, we will be happy if you cite us!
@InProceedings{bertoni_2021_icra,
author = {Bertoni, Lorenzo and Kreiss, Sven and Mordan, Taylor and Alahi, Alexandre},
title = {MonStereo: When Monocular and Stereo Meet at the Tail of 3D Human Localization},
booktitle = {the International Conference on Robotics and Automation (ICRA)},
year = {2021}
}
@ARTICLE{bertoni_2021_its,
author = {Bertoni, Lorenzo and Kreiss, Sven and Alahi, Alexandre},
journal={IEEE Transactions on Intelligent Transportation Systems},
title={Perceiving Humans: from Monocular 3D Localization to Social Distancing},
year={2021},
@InProceedings{bertoni_2019_iccv,
author = {Bertoni, Lorenzo and Kreiss, Sven and Alahi, Alexandre},
title = {MonoLoco: Monocular 3D Pedestrian Localization and Uncertainty Estimation},
booktitle = {the IEEE International Conference on Computer Vision (ICCV)},
month = {October},
year = {2019}
}






